• Anasayfa
  • Favorilere Ekle
  • Site Haritası

4. SINIF DERS NOTLARI

ÇALIŞMA SAYFASINA HOŞ GELDİNİZ

Üyelik Girişi
Site Haritası
Takvim
ÖĞRETMENİMİZ
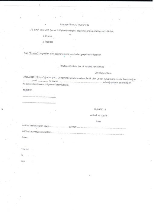
ÇOCUK KULÜBÜ / ETÜT ÇALIŞMALARI HAKKINDA...
  Bunlardan bu çalışmanın ücretlendirilmesine ilişkindir.

İkincisi ise bu çalışmaya katılabilmek, bu çalışmada var olabilmek için başvuru formudur.

Öğrencisini bu çalışmaya katmak isteyen, bir başka deyişle öğrencisinin saat 15,00 ile 16,20 arasında da okulda bulunmasını / kalmasını isteyen velilerin doldurup, onaylayıp, tarafıma ivedilikle göndermesi gerekli olan bir formdur. 

Bu çalışma Pazartesi gününden itibaren başlayacağı için formların dönüşünün çok acil olarak olması zorunludur.

Bu aciliyette maksimum süre, Pazartesi sabahtır.

Başvuru formunda iki adet seçimlik ders göreceksiniz. Bunlardan ilki, " Drama " 

Bu ders benim yeterlilik alanım ve sertifika ile belgeleyebildiğim bir alan olduğu için kursun dört günü öğrencinin benimle birlikte olacağı zaman için alınan bir derstir.

Uygulamada drama dersi bire bir olmayacaktır. Elbette bu dersin gerektirdikleri de zaman içerisinde yapılacaktır ancak bu dersin sçimlik olarak orada bulunması, ben olduğum içindir. Bir başka öğretmende bu ders yerine bir başka ders görülebilir.

İkinci seçimlik ders ise ; "İngilizce'dir." Bu ders ise ingilizce öğretmenlerimizin biri tarafından haftanın bir günü mutlak şekilde verilecektir. İngilizce dersinin olduğu o gün, sınıf öğretmeni olarak ben sınıfta bulunmayacağım.


Formda da göreceğiniz üzere, çocuğunuz bu çalışmalarda kaç gün yer alacağını da belirleyebilirsiniz. Bu zamanı da formda uygun alanda gösteriniz.

Örneğin; çocuğunun sadec bir tek, o da ingilizce dersi için kalmasını isteyen velimiz; kursakatılım gününü bir gün olarak işaretleyecek ve ödemesini o bir tek gün üzerinden yapacaktır.

Bilginize...

  
830 kez okundu

Yorumlar

Henüz yorum yapılmamış. İlk yorumu yapmak için tıklayın
Ziyaret Bilgileri
Aktif Ziyaretçi1
Bugün Toplam31
Toplam Ziyaret460547
Döviz Bilgileri
AlışSatış
Dolar44.953545.1337
Euro52.606552.8173
Hava Durumu
Saat