• Anasayfa
  • Favorilere Ekle
  • Site Haritası

4. SINIF DERS NOTLARI

ÇALIŞMA SAYFASINA HOŞ GELDİNİZ

Üyelik Girişi
Site Haritası
Takvim
ÖĞRETMENİMİZ
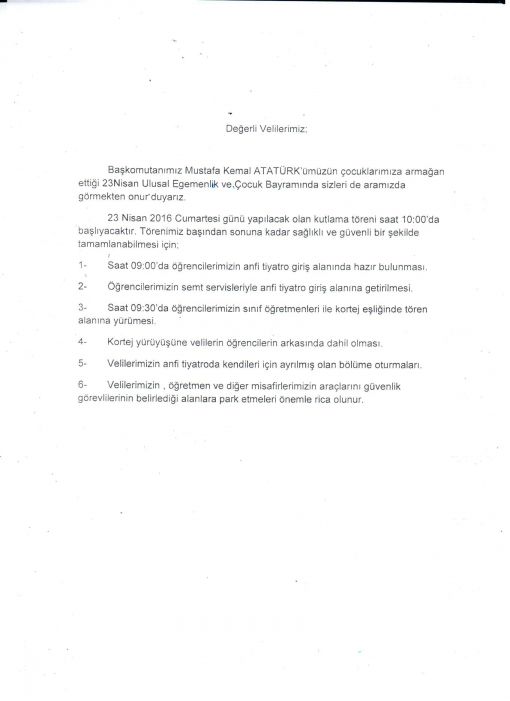
23 NİSAN GÖSTERİ PROGRAMI HAKKINDA...
Bir yürüyüş korteji oluşturulacağından en geç 09,15 'de açık hava gösteri alanının girişinde hazır olunması gerekmektedir.

Daha önceki duyurumda bu saati en geç , 09,30 olarak duyurmuştum ancak yeni yapılan düzenleme ile kortej yürüyüşü eklendiğinden bu saat değişmiştir. Bir aksilik yaşanmaması için bu uyarıya lütfen özen gösteriniz. Tarfiği de dikkate alarak ve de park sorununu da göz önünde bulundurarak yola çıkınız.

  
881 kez okundu

Yorumlar

Henüz yorum yapılmamış. İlk yorumu yapmak için tıklayın
Ziyaret Bilgileri
Aktif Ziyaretçi2
Bugün Toplam148
Toplam Ziyaret430930
Döviz Bilgileri
AlışSatış
Dolar44.075144.2518
Euro50.471950.6742
Hava Durumu
Saat